next up previous
Next: Rozdělení pravděpodobnosti některých statistik Up: Výběrové statistiky (prostého náhodného Previous: Výběrové charakteristiky dané středováním

Výběrové charakteristiky dané pořadím - pořádkové statistiky

Uspořádaný výběr $\left\{ X_{(1)}, X_{(2)}, \dots, X_{(n)} \right\}$ vznikne uspořádáním prvků výběru
$\left\{ X_1, X_2, \dots, X_n \right\}$ vzestupně podle velikosti.

Výběrový p-kvantil $\tilde{x}_p$ je pro $0 \le p \le 1$ definován předpisem

\begin{displaymath}\tilde{x}_p = \left\{ \begin{array}{ll}X_{([np]+1)} & np \not...
...(np)} + X_{(np+1)} \right) & np \in \cal{N} \end{array}\right. \end{displaymath}

Zde $[np]$ značí celou část čísla $np$ a $\cal{N}$ je množina všech nezáporných celých čísel.
Kvantil $\tilde{x}_{0.5}$ je výběrový medián, $\tilde{x}_{0.25}$ a $\tilde{x}_{0.75}$ jsou první a třetí výběrový kvartil. Mírou rozptýlenosti výběru je výběrové mezikvartilové rozpětí $\tilde{x}_{0.75} - \tilde{x}_{0.25}$.

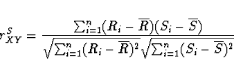
Korelace pořadí - Spearmanův korelační koeficient Nechť při prostém výběru o rozsahu $n$ jsou sledovány dva znaky $X$ a $Y$. Dostaneme dva soubory hodnot $X_i$ a $Y_i$, kde $i = 1,\dots,n$ je index prvku výběrového souboru. Označme $R_i$ (resp. $S_i$) pořadí i-tého prvku podle velikosti v souboru hodnot $X_i$ (resp. $Y_i$). Pro názornost označíme průměrnou hodnotu pořadí $\overline{R} = \overline{S} = (n+1)/2$. Pak Spearmanův korelační koeficient je dán

\begin{displaymath}r^S_{XY} =
\frac{\sum_{i=1}^n (R_i - \overline{R})(S_i - \ove...
... - \overline{R})^2}
\sqrt{\sum_{i=1}^n(S_i - \overline{S})^2}} \end{displaymath}

Hodnota $r^S_{XY} \in \left< -1,1 \right>$. Koeficient korelace pořadí je méně ovlivněn odlehlými body než lineární korelační koeficient.



next up previous
Next: Rozdělení pravděpodobnosti některých statistik Up: Výběrové statistiky (prostého náhodného Previous: Výběrové charakteristiky dané středováním
Jiri Limpouch
2000-11-02